2020
  • 2020-09-18
    叶克穷课题组解析核糖体组装的动态过程
    核糖体是所有生物用来合成蛋白质的分子机器,是生命的基本元件。核糖体包括大亚基和小亚基,两个亚基都是由核糖体RNA和大量蛋白质构成的大型复合物。在真核细... 核糖体是所有生物用来合成蛋白质的分子机器,是生命的基本元件。核糖体包括大亚基和小亚基,两个亚基都是由核糖体RNA和大量蛋白质构成的大型复合物。在真核细...
  • 2020-09-16
    娄继忠课题组与合作者在新冠病毒包装机制研究中取得进展
    新型冠状病毒感染引起的肺炎( COVID-19 )在全球范围内广泛流行,由于缺乏有效的防治手段已经对经济发展以及社会稳定造成了巨大影响。新冠病毒在侵入细胞之... 新型冠状病毒感染引起的肺炎(COVID-19)在全球范围内广泛流行,由于缺乏有效的防治手段已经对经济发展以及社会稳定造成了巨大影响。新冠病毒在侵入细胞之后...
  • 2020-09-14
    卫涛涛课题组合作揭示miR-133a的转录调控机制并阐明其在细胞分化中的作用
    国际学术期刊《 Cell Death & Disease 》发表了金沙集团1862cc卫涛涛课题组与美国Creighton University屠亚平课题组的合作论文" KAP1 - associated... 2020年9月9日,国际学术期刊《Cell Death & Disease》发表了金沙集团1862cc卫涛涛课题组与美国Creighton University屠亚平课题组的合作论文"KAP1-a...
  • 2020-09-04
    背靠背Nat Commun丨王祥喜/饶子和/朱凤才团队合力揭示肠道病毒B家族成员的入侵机制及中和机理
    肠道病毒是人群中流行最为广泛的病毒之一,不同家族不同血清型在不同国家地区及不同时间维度上层出不穷。肠道病毒流行谱的变化提示我们有必要对一些常见的以... 肠道病毒是人群中流行最为广泛的病毒之一,不同家族不同血清型在不同国家地区及不同时间维度上层出不穷。一方面,当一种血清型在某一地区大规模流行,疫苗的...
  • 2020-08-26
    王晓群组与合作者解析人类与非人灵长类恒河猴视网膜衰老分子图谱
    2020年8月26日, National Science Review杂志在线发表了题为" A single-cell transcriptome atlas of the aging human and macaque retina "的研究论文。该... 2020年8月26日,《National Science Review》杂志在线发表了题为"A single-cell transcriptome atlas of the aging human and macaque retina"的研究论文。该...
  • 2020-08-25
    孙飞课题组解析线粒体膜间磷脂酸PA转运精细分子机理
    2020年8月25日,国际学术期刊《 Communications Biology 》在线发表了金沙集团1862cc孙飞课题组与香港城市大学范俊课题组合作研究成果" Molecular ... 2020年8月25日,国际学术期刊《Communications Biology》在线发表了金沙集团1862cc孙飞课题组与香港城市大学范俊课题组合作研究成果 " Molecular m...
  • 2020-08-24
    人类大脑皮层发育在时空上的转录调控特征
    大脑皮层作为人类神经系统的核心,在进化上具有强烈的人类独有的特点。王晓群课题组一直致力于研究干细胞与人脑发育的分子调控机制与进化特征。王晓群课题组... 大脑皮层作为人类神经系统的核心,在进化上具有强烈的人类独有的特点。王晓群课题组一直致力于研究干细胞与人脑发育的分子调控机制与进化特征。2020年8月21日...
  • 2020-08-17
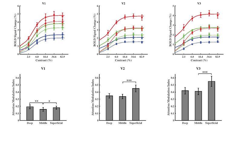
    张朋课题组通过7T功能磁共振技术揭示人类视皮质区层特异的注意调控机制
    2020年8月17日, 《 Progress in Neurobiology 》杂志在线发表了金沙集团1862cc脑与认知科学国家重点实验室张朋课题组的最新研究成果: " Layer-depe... 2020年8月17日,《Progress in Neurobiology》杂志在线发表了金沙集团1862cc脑与认知科学国家重点实验室张朋课题组的最新研究成果: "Layer-dependen...
  • 2020-08-17
    线粒体生物学团队研发出RNA干扰在线粒体中的应用(mitoRNAi)
    2020年8月17日,《Cell Research》杂志在线发表了金沙集团1862cc核酸重点实验室张晓荣团队的最新研究成果:“Active RNA interference in mitochon... 2020年8月17日,《Cell Research》杂志在线发表了金沙集团1862cc核酸重点实验室线粒体生物学团队的最新研究成果:“Active RNA interference in mi...
  • 2020-08-18
    王晓群课题组发现Cenpj对哺乳动物下丘脑神经发生和摄食环路的调控作用
    2020年8月13日, 《 Science China-Life Sciences 》在线发表了金沙集团1862cc王晓群课题组和北京师范大学吴倩课题组合作研究论文" Loss of the ce... 2020年8月13日,《Science China-Life Sciences》在线发表了金沙集团1862cc王晓群课题组和北京师范大学吴倩课题组合作研究论文"Loss of the centro...
  • 2020-08-14
    王晓群课题组发现哺乳动物下丘脑神经前体细胞的分子和细胞特征
    下丘脑是哺乳动物中最为复杂并且进化上相对保守的脑区之一,对于生物体的生理、行为稳态的调节至关重要。与大脑皮层的层状结构不同,哺乳动物的下丘脑是由多... 下丘脑是哺乳动物中最为复杂并且进化上相对保守的脑区之一,对于生物体的生理、行为稳态的调节至关重要。与大脑皮层的层状结构不同,哺乳动物的下丘脑是由多...
  • 2020-08-13
    新冠病毒广谱中和保护机制研究取得新进展
    新型冠状病毒感染导致的肺炎疫情在全球范围内广泛流行,造成了前所未有的公共卫生危机。目前尚无上市疫苗或特效药物对抗新冠病毒。中科院生物物理所王祥喜研... 新型冠状病毒感染导致的肺炎疫情在全球范围内广泛流行,造成了前所未有的公共卫生危机。目前尚无上市疫苗或特效药物对抗新冠病毒。中科院生物物理所王祥喜研...