2020年8月26日, National Science Review杂志在线发表了题为" A single-cell transcriptome atlas of the aging human and macaque retina "的研究论文。该工作通过对不同年龄段人类及非人灵长类恒河猴视网膜进行单细胞测序,解析了人类与恒河猴视网膜在细胞水平和分子水平的...
2020年8月26日,《National Science Review》杂志在线发表了题为"A single-cell transcriptome atlas of the aging human and macaque retina"的研究论文。该工作通过对不同年龄段人类及非人灵长类恒河猴视网膜进行单细胞测序,解析了人类与恒河猴视网膜在细胞水平和分子水平的...
2020年8月25日,国际学术期刊《 Communications Biology 》在线发表了金沙集团1862cc孙飞课题组与香港城市大学范俊课题组合作研究成果" Molecular mechanism of mitochondrial phosphatidate transfer by Ups1 " 。该工作以酿酒酵母( Saccharomyces cerevisiae )的...
2020年8月25日,国际学术期刊《Communications Biology》在线发表了金沙集团1862cc孙飞课题组与香港城市大学范俊课题组合作研究成果 " Molecular mechanism of mitochondrial phosphatidate transfer by Ups1"。该工作以酿酒酵母(Saccharomyces cerevisiae)的线粒...
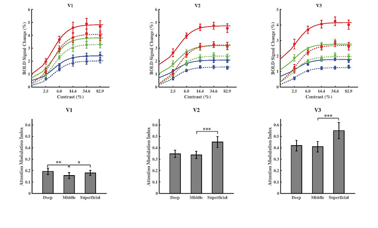
2020年8月17日, 《 Progress in Neurobiology 》杂志在线发表了金沙集团1862cc脑与认知科学国家重点实验室张朋课题组的最新研究成果: " Layer-dependent multiplicative effects of spatial attention on contrast responses in human early visual cortex " 。在生...
2020年8月17日,《Progress in Neurobiology》杂志在线发表了金沙集团1862cc脑与认知科学国家重点实验室张朋课题组的最新研究成果: "Layer-dependent multiplicative effects of spatial attention on contrast responses in human early visual cortex"。在生物物理...