2020年7月29日,国际学术期刊《Science Advances》在线发表了金沙集团1862cc孙飞课题组与杭州师范大学徐晓玲、辛越勇课题组合作研究的成果 "Cryo-EM structures of the air-oxidized and dithionite-reduced photosynthetic alternative complex III from Roseiflexus castenholzii"。该项工作以光合玫瑰菌光合作用系统为研究对象,通过冷冻电镜技术首次解析了光合作用过程中电子传递链复合体ACIII在氧化和还原两种状态下的精细结构,通过结构比较和分析提出了一种新的电子传递-质子转运偶联机制。

图1. 光合玫瑰菌光合电子传递循环
光合玫瑰菌(R. castenholzii)是一种嗜热不产氧光合细菌,在进化中形成了一套独特高效的光能吸收、转化和循环电子传递系统。该系统没有外周天线,捕光复合体(Light Harvesting, LH)由多个脱辅基蛋白的异二聚体(LHαβ)组成环状,将反应中心(Reaction Center, RC)紧密包围在中间,每个LHαβ都结合着细菌叶绿素和类胡萝卜素分子用于捕获和传递光能。反应中心含有的特殊细菌叶绿素对接受光能,并产生电荷分离,释放出的电子用于还原电子受体甲基萘醌(Menaquinone, MQ)为氢醌,氢醌从反应中心捕光天线复合体(RC-LH complex)离开进入细胞膜内的醌池等待被氧化。与高等植物光合系统不同的是,在光合玫瑰菌光合系统中,氢醌的氧化不是由细胞色素复合体bc1/b6f完成的,而是由一种全新的蛋白复合体ACIII (Alternative Complex III)来完成。氢醌结合到ACIII的醌结合位点,被氧化后释放出的电子传递给蓝铜蛋白(Auracyanin),之后蓝铜蛋白在周质腔中运动,再将电子传回给与反应中心紧密结合的细胞色素Cyt c,最终电子回到反应中心,从而完成了电子的循环传递(图1)。此电子传递过程中形成的跨膜质子电化学梯度被用来驱动N ADP+的还原和ATP的合成,实现光能到化学能的转换,为细菌生长提供能量。

图2. 光合玫瑰菌ACIII的结构和电子传递机制
作为细胞色素复合体bc1/b6f的功能替代物,ACIII氧化氢醌、传递电子和转运质子的机制是长期以来未能获阐明的科学问题。研究人员从光合玫瑰菌中提取并解析了ACIII在氧化态3.3 ?和还原态3.5 ?分辨率的冷冻电镜结构。ACIII复合体由6个亚基(ActA, ActB, ActC, ActD, ActE, ActF)组成,共包含23段跨膜螺旋。在膜周质侧,ActA和Act E结合6个c型血红素,ActB结合1个3Fe4S铁硫簇和3个4Fe4S铁硫簇,这些血红素和铁硫簇共同构成了ACIII的电子传递链(图2)。
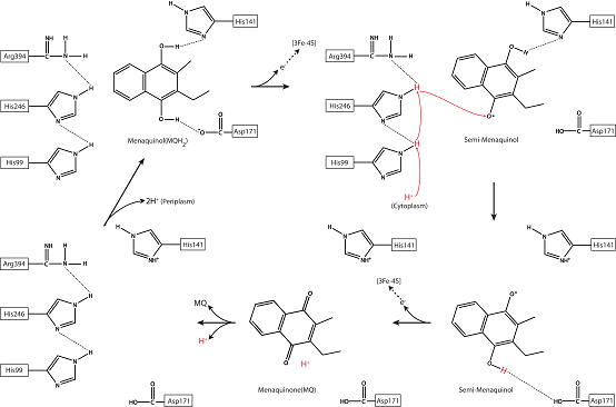
根据序列比对和同源结构分析,研究人员在ActC亚基中发现了一个醌结合口袋和一条质子转运通道。通道中间的三个高度保守的氨基酸(His99,His246和Arg394)与醌结合口袋之间存在着广泛的氢键相互作用,可能在偶联氢醌氧化和质子转运中发挥着关键作用。基于氧化态和还原态ACIII的密度差别,以及电子传递体的氧化还原电势分析,研究人员提出了一种新的电子传递-质子转运偶联机制模型(图3),该模型为研究其他光合作用和线粒体呼吸作用过程中的类似电子传递-质子转运偶联现象提供了新的理论借鉴和分析思路。

图3. 光合玫瑰菌ACIII的电子传递-质子转运偶联机制模型
该项工作由孙飞课题组与杭州师范大学徐晓玲、辛越勇课题组合作完成。杭州师范大学徐晓玲教授和中科院生物物理所孙飞研究员为本文的共同通讯作者,孙飞课题组师扬博士(目前在英国MRC-LMB从事博士后研究)、杭州师范大学副研究员辛越勇和硕士研究生王超为本文共同第一作者。该研究得到国家自然科学基金、科技部和浙江省自然科学基金等项目的资助。数据收集和样品分析等工作得到了中科院生物物理所生物成像中心、浙江大学冷冻电镜中心等有关工作人员的大力支持和帮助。
该项研究工作是合作团队继光合玫瑰菌反应中心捕光天线复合体结构研究(Nature communications, 9 : 1568. doi: 10.1038/s41467-018-03881-x)之后取得的又一突破。
文章链接:https://advances.sciencemag.org/content/6/31/eaba2739
(供稿:孙飞研究组)
附件下载: